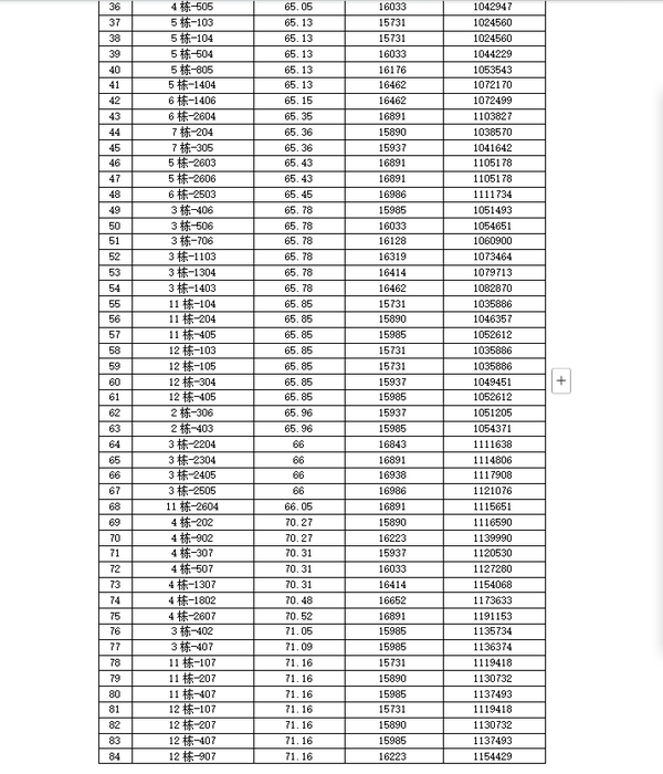
20260121瑞昌路141号、长沙路45号、功德坊路20号房产拍卖会 > > 【37】5栋-103
【37】5栋-103
拍卖师提示 竞买帮助>>
起拍价:1,024,560.00 出价次数0 延时次数:0
距离结束:
拍卖即将开始
起拍价 1,024,560.00 评估价 1,024,560.00 保证金 102,456.00
加价幅度 40,000.00 竞拍周期 0小时2分钟 延时周期 0分钟45秒
类型 拍卖 ★优先购买权人 保留价
竞买记录
状态 竞买号 竞买价格 时间
1、该宗房产实行现状拍卖,公告中所列举的房屋建筑面积和户型图片仅供参考,房屋具体情况以现场实际看样为准,参与登记的竞买人系在完全了解该拍卖标的存在瑕疵的情况下,自愿参与竞买并承担相关风险及责任。
2、拍卖保证金为起拍价的10%。
3、拍卖成交后,买受人需自行补缴房屋公共维修基金。
4、房产交易税费按相关法规各自承担。
5、该宗房屋因质保期已过,房屋质量问题由买受人自行承担。
6、参与登记的竞买人必须以不低于起拍价的价格应价。若不应价,其交纳的竞买保证金扣除作为违约金,若有其他竞买人应价,则该项约定责任自动免除。
7、参与登记的竞买人须在拍卖会开始前熟悉网络竞价规则、掌握相关操作流程、调制调试相应设备。网络竞价开始后因不属于甲方的原因所导致的设备不能正常运转、不能顺利登陆、网络出价等后果,由乙方自行承担。
8、对成交后不按时缴纳成交价款和拍卖佣金、平台软件使用费、不签署成交确认书、不按时办理房屋交接手续的一律按违约处理。
状态 竞买号 竞买价格 时间
Flow